En el artículo anterior, la inversión tenía una duración infinita, esto era útil en proyectos de obras públicas con una vida útil muy grande. En el artículo de hoy, la vida útil se considera finita, por lo tanto la duración será de "n" años.
Escenario 1. Si la inversión se hace ahora:
Escenario 2. Si se posterga en 1 año la inversión:
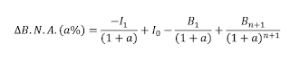
Restamos el Escenario 2 versus el Escenario 1:
Las mismas 3 posibilidades:
>0 Se posterga
<0 Hacer inmediatamente
=0 Escenario óptimo, realizar análisis, como se indicó anteriormente.
Cabe destacar que, los valores de inversión tanto en el año 0 o 1, se consideran similares, debido a que el proyecto tiene una cantidad finita de años de ejecución.
Bibliografía
Fontaine, E. (2008). Evaluación Social de Proyectos. Pearson. https://economicas.unsa.edu.ar/iie/archivos/syc/Fontaine.pdf
