El Momento Óptimo de hacer una inversión lo discutiremos en 3 artículos distintos, caso por caso. En este primer caso es cuando la inversión dura para siempre, lo beneficios están en función del tiempo e independiente del momento en que se realiza la inversión. La tasa de descuento se mantiene constante.
Escenario 1. Si la inversión se hace ahora:
Escenario 2. Si se posterga en 1 año la inversión:
Restamos el Escenario 2 versus el Escenario 1:
Con la resta entonces existen 3 posibilidades:
>0: El proyecto se debe postergar ese periodo, puesto que la diferencia hace positivo realizarlo en el escenario 2.
<0: El proyecto se debe hacer inmediatamente. Cualquier retraso disminuirá los Beneficios Netos Actualizados.
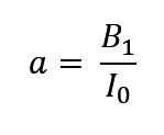
=0: Si es igual a cero da lo mismo, pero ya que ambos casos son el momento óptimo para hacer la inversión, hay tiempo para hacer un análisis exhaustivo. En este caso, como la resta es igual a cero, se cumple la igualdad:
Lo que determina la tasa más interesante: El Capitalizado Equivalente.
Capitalizado Equivalente
Es aquella igualdad, en donde la inversión inicial Io es igual a la anualidad de pagos iguales en un periodo infinito (o n muy alto) dividido por la tasa de descuento (o de interés). Es muy bueno utilizarla en aquellos proyectos de obras públicas cuando la vida útil de ellos es superior a 50 años. Esta fórmula es el resultado de la simplificación de aplicar límites a la sumatoria de beneficios divididos por la tasa de descuento (o interés).
Bibliografía
Fontaine, E. (2008). Evaluación Social de Proyectos. Pearson. https://economicas.unsa.edu.ar/iie/archivos/syc/Fontaine.pdf
