En Evaluación de Proyectos, existen 2 elementos claves para realizar una correcta evaluación sobre la viabilidad de ellos.
Tasa Interna de Retorno
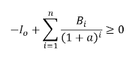
Es aquella tasa donde se ordenan los proyectos, ya que representa la valorización de los mismos. La Tasa Interna de Retorno es aquella tasa donde el B.N.A. (Beneficio Neto Actualizado) se hace cero. Es decir, es aquella tasa mínima donde debe comenzar a haber retorno de inversión. Bajo esa tasa, los B.N.A. serán mayores que cero, mientras que sobre ella, los B.N.A. serán negativos. Así, tenemos en cuenta que la inversión debe igualar a la suma actualizada de los beneficios esperados:
Donde:
Io: Inversión inicial del proyecto
Bi: Beneficio Neto del periodo i
i: Periodo a considerar
n: Total de periodos de desarrollo del proyecto
R: Tasa Interna de Retorno
Entonces, la Tasa Interna de Retorno, debe satisfacer la ecuación de igualdad:
Beneficio Neto Actualizado
Corresponde al Valor Actual Neto que incluye la inversión inicial (Io), y los beneficios en el periodo i. Además, a es la tasa de descuento a sensibilizar. Esta tasa, que no es la Tasa Interna de Retorno, es calculada y estimada por los departamentos de planificación respectivos, de acuerdo a las variables macroeconómicas disponibles. Así, ante un escenario de certeza y estabilidad económica, este valor es bajo, incluso podría ser cero, lo que sería atractivo a los inversionistas ya que todo el valor de retorno no es descontada por la tasa. De lo contrario, ante un escenario de incertezas, este valor de a será lo más alto posible, lo que hace poco atractivo a los inversionistas invertir ahí, ya que el valor de retorno va a ser muy bajo, incluso negativo.
Entonces, para que la inversión sea atractiva, se debe satisfacer que:
Nótese que si colocamos en un plano cartesiano un proyecto "bien comportado", es decir, que a tasa cero tiene un B.N.A. positivo, éste va decreciendo hasta llegar a la Tasa Interna de Retorno. Valores de tasa a mayores al T.I.R, como comentamos anteriormente, harán que el B.N.A. sea negativo. Existen sin embargo otros casos donde hay más de una Tasa Interna de Retorno, en ese caso, debemos graficar cada escenario.
Curva de comportamiento de un proyecto bien comportado desde una tasa cero hasta el T.I.R.
¿V.A.N. o B.N.A.?
Hay una pequeña pero importante diferencia conceptual entre estos términos. La diferencia entre el Valor Actual Neto (V.A.N.) es que podría considerar o no el valor de la inversión inicial (Io), por lo tanto es un valor presente de beneficios, o de costos, según sea el caso. Por otra parte, el Beneficio Neto Actualizado sí considera la inversión inicial (Io) en todos los casos, por lo que B.N.A. es un caso particular de V.A.N.
Ubicación de Pesaje Vehicular, uno de los elementos a considerar en la Evaluación Económica de Proyectos
Conclusiones
Sabemos que el transporte en sí, es una función multiobjetivo y multivariable. A modo conceptual, en el gráfico siguiente se muestra el Beneficio Neto Actualizado de 4 proyectos ejemplos, sin valorización.
Comparativa gráfica de proyectos a modo conceptual
Entonces podremos ver que los proyectos B y D son preferentemente elegibles, por su alto B.N.A., a diferencia de los proyectos A y C. Ahora, podríamos tener un factor extraeconómico para elegir uno u otro. En este caso, Delta (el área en rojo) representa la diferencia de elección entre ellos, que podría ser variable en entornos externos complejos. En el artículo Ordenamiento de Proyectos, estudiamos la relación entre dos proyectos cuando son dependientes e independientes, lo que nos permite analizar cuando es conveniente ejecutar uno u otro, o los dos.
Bibliografía
Fontaine, E. (2008). Evaluación Social de Proyectos. Pearson. https://economicas.unsa.edu.ar/iie/archivos/syc/Fontaine.pdf


